In grad school, a classmate and I applied for a grant from the University of California to study how wages influence effort. We received a check for $1,000, and I immediately went to the bank and cashed the entire amount into single dollar bills. (It’ll make sense in a sec…)
Then we recruited a bunch of undergrads, gave them IQ tests, paired the highest-scoring students with the lowest-scoring ones, and then set them to the most menial, repetitive, mind-numbing tasks. In return, we paid cash.
The diabolical twist was, in certain cases, we openly paid the high-IQ students less than their lower-scoring partners. We wanted to see if the smartest people in the room would stop working if they realized the system was rigged against them.
The results were published in the Journal of Economic Behavior & Organization, lending a veneer of academic respectability over the fact that I spent a winter psychologically torturing undergraduates with dollar bills to prove a point about fairness.
But it taught me a fundamental rule of compensation: Money does not buy effort.
Part I: The Theory of the Goldilocks Zone
If you strip away the HR rhetoric, an employee compensation package is just a mechanism to solve a very old economic problem: how do you get an Employee (the agent) to care about the goals of the Firm (the principal)?
For most firms, the goal is something like, “Work hard enough to ship a well-defined product, which is just an incremental update to last year’s product, and we know how long it took last year, so don’t slack off, but don’t work so hard that you collapse and become a liability.”
That’s why the standard package consists of a competitive base salary to ensure you show up, a 20% bonus target to make you feel like a “high performer,” and a four-year vesting schedule of stock units to keep you retained. It is a perfectly calibrated set of handcuffs -- sorry, I meant an incentive system, designed to keep you productive and predictable.
Of course, there is a structural paradox in employment that HR doesn’t discuss. The Firm needs you to create value, but not have the leverage to capture it. This creates a delicate equilibrium I call the Employee Goldilocks Zone.
Zone 1: Survival Mode (Too Poor to Leave). The employee is living paycheck to paycheck. Retention is high, but resentment is high. Innovation is low because risk-taking has asymmetric downside (i.e., you can lose your job but the reward for success is capped). You play it safe because you have to.
Zone 2: Goldilocks Zone (Illiquid Affluence). The employee looks wealthy but isn’t free. You’re house rich, cash poor, with lifestyle lock-in: a mortgage, a Tesla, private school tuition. Much of your pay only exists if you stay. The stock that makes the job lucrative hasn’t fully paid out yet, and if you leave, you give it up. That makes it hard to replace your current income anywhere else. Losing the job would be catastrophic, so you work late, stay agreeable, and avoid rocking the boat. You are productive, predictable, and dependent. This is where the Firm wants you.1
Zone 3: Financial Independence (Too Rich to Stay). The employee has a financial windfall large enough that the marginal utility of their next paycheck drops to zero. The handcuffs shatter. If you choose to stay, the contract changes fundamentally, because now you are working for power, status, or mission. You have become a volunteer with a badge. While this sounds noble, a volunteer cannot be commanded like a conscript. You will only work on projects that interest you, and you will dissent when the strategy conflicts with your values. This is the nightmare scenario for the Firm.
For an Employee, the goal is to reach Zone 3 as fast as possible. For the Firm, the goal is to keep you in Zone 2 forever. For an Investor, the fear is that the Firm is accidentally designing a Zone 3 outcome.
Market Failures from the AI Talent Panic
To be clear: the Firm manages not effort, but optionality.
In the economic theory of the Firm (Alchian & Demsetz, 1972), a company can not command you to code faster; it can only threaten to stop paying you. With a focus on attraction and retention, the Firm’s incentive system is designed to pay an employee enough to stay while regulating the freedom to walk away (i.e., prevent life-changing wealth for rank-and-file employees).
Sometimes, however, the incentive system misfires.
Right now, we are witnessing a breakdown of the Goldilocks Zone at the frontier of AI. Mark Zuckerberg reportedly worked through a secret file known as “The List,” a compilation of the world’s top AI researchers, dangling pay packages rumored to reach $100 million.
To a firm planning to spend $115 billion on server infrastructure, a nine-figure salary for a human looks like a rounding error, but in their desperation to acquire AI’s tribal knowledge, tech companies are flooding the market with Financial Independence.
When an employee gets too rich, a few disastrous things happen.
First, staff costs unmoor from reality. If I pay you $50M today, I cannot retain you tomorrow unless I pay you $60M. You have become unretainably expensive. The CEO eventually faces seat-shifting questions from the Board like, “Why are we paying a 28-year-old researcher the salary of an NBA All-Star?”
Second, it creates an aristocracy sitting among the working class. This stratification is toxic to culture. One visibly independent employee destabilizes the incentive system for the entire team. When a peer on Google’s self driving project realizes that the person sitting next to them has just received nine figures of liquid cash, the social contract of “we are all in this grind together“ evaporates.
Third, and most dangerously, Financial Independence seeds future competitors. There is a dark irony where the capital raised to build the castle is used to buy the battering ram that knocks it down. The Firm takes money from public and private investors to secure dominance, but by over-rewarding star employees, it arms the rebels. Respawn Entertainment arose because former Call of Duty leads earned enough money to start a rival studio.
This essay is dedicated to explaining the specific circumstances where "F-U Money" is captured by employees, and the market inefficiencies this represents. If you talk to your university career center, or your successful VP at IBM uncle, they will likely tell you to look for stability or prestige. This is wrong. You should be looking for a Mistake. Just as in finance, where we hunt for mispriced assets, in careers, you want to hunt for Compensation Inefficiencies, i.e., places where the upside hasn’t been capped by HR yet.
In the interest of fairness, this analysis will be useful to all three players at the table:
Employees who want to find the Alpha (excess returns).
Firms that want to patch the mistake.
Investors who need forecast the endgame for today’s AI labs.
We will look at two historical cases where the mechanism of failure is identical. Whether a team invents an autonomous vehicle or ships a culture-defining video game that prints billions, the Firm is forced to issue Financial Independence payouts. Finally, we will cover how to spot compensation inefficiencies in the wild, like a truffle pig sniffing out value.
Part II: Case Study of Google’s Mistake with Waymo
In the early days of Google’s self-driving project (then known as Project Chauffeur, later Waymo), the company implemented an unusual compensation system that backfired spectacularly. It created a success-triggered brain drain where the most critical engineers became so wealthy they had no reason to stay.
1. The Chauffeur Bonus System
In 2009, the talent war for AI was just beginning, and Google was trying to solve a very specific Principal-Agent problem: how do you incentivize the best robotics engineers to stay at a massive online advertisement company?
Usually, at a company like Google, your bonus is tied to the Google stock price. If Google stock goes up 20%, your bonus goes up 20%. Larry Page, along with Sebastian Thrun (the founder of Google X), feared that tying the self-driving project to Google’s ad-driven core would repel world-class engineers. No matter how profound the robotics breakthrough, the stock price would always be dictated by ad-clicks for dog grooming and vitamin supplements. To align the agents' (the engineers) incentives with the principal's (Google) moonshot goals, they need to create a “soft currency” for the car project that could grow much faster than Google’s stock.
The solution was an incentive system where employees were granted project units that functioned like equity shares in a private company, a synthetic startup environment inside a parent firm. To make these units competitive with the potential of a Silicon Valley exit, Google introduced a multiplier that would inflate the value of those units as the team hit specific technical milestones. As the work moved from a science project to a viable technology, each unit would become exponentially more valuable, mimicking the Series A to Series D economics of a successful startup.
To calculate the bonuses, Google had to put an internal valuation on the project. It helps to view it as a Discounted Cash Flow (DCF) problem gone rogue. In finance, Terminal Value represents what a business is worth at the end of a projection period (usually 5–10 years) when it reaches a stable, mature state. Think of it as pricing the company based almost entirely on what the world looks like if everything goes right. Because self-driving cars were assumed to eventually replace everything from taxi fleets to long-haul trucking, Google’s analysts implicitly anchored their math on the astronomical $10 trillion global transportation market.
Google’s mistake was improperly accounting for uncertainty. In most cases, that upside should be heavily discounted or probabilistically weighted. For example, you would take that trillion-dollar theoretical endgame of total market dominance and multiply it by a tiny percentage, say a 5% chance of actually succeeding, to arrive at an expected value. In a real market, investors provide the probabilistic weighting by refusing to buy stock at a price they think is too high.
In Google’s Chauffeur bonus system, the “investor” was a fixed, contrived mathematical formula tied to technical milestones. The technical milestones were things like “Drive 100,000 miles without a human touching the wheel” or “Navigate a complex San Francisco intersection.” As soon as the team hit each technical milestone, the formula treated it as a proxy for commercial readiness, which automatically triggered a bonus multiplier, without accounting for the massive execution risks that remained. The rogue part happened because the formula bypassed the human judgment that would normally say, “Sure, it can turn left, but we still don’t have a regulatory framework or a way to make money.” Even more damning, the formula was one-way ratchet (it could only go up). There was no mechanism for the investor to say “Wait, the market has changed” or “Wait, a competitor just launched.” Google essentially built a system that paid out for total market dominance while the product was still in beta.
In addition, Google didn’t think the team would actually hit the milestones so fast. They had constructed a compensation plan based on long-term valuation targets, a decade-long startup journey, that a small, highly motivated team with unlimited compute power brute force speed-ran in just five years.2 In a real startup, if your company is worth billions, your wealth is trapped on paper until an IPO, but most critically, Google’s system was cash-based. By the time the execs realized the multiplier was creating enormous cash bonus payouts, the contracts were already signed.
2. "One Levandowski" and the Talent Exodus
In the world of tech compensation, the “F-U money” handed out to the Google self-driving team is legendary. To give you a sense of scale, Anthony Levandowski received roughly $120 million in bonuses, and internally this number was jokingly referred to as One Levandowski, a unit of measure for being rich enough to walk away.
Many on the broader early team had a 16x multiplier applied to their accumulated bonuses. For an engineer with $500,000 in project units, that multiplier turned a nice nest egg into an $8 million cash-out in a single year. Engineers who were previously motivated by vesting suddenly had their entire career outlook paid out at once.
Because the project was still years away from commercialization, many veterans realized they had achieved total financial independence and felt they could move faster and more aggressively on their own. This led to a massive talent exodus that funded Google’s future competition:
Chris Urmson, the former CTO and face of the project, left in 2016 to co-found Aurora Innovation.
Director Bryan Salesky departed to start Argo AI with a billion-dollar investment from Ford.
Levandowski left to start the self-driving truck company Otto, which Uber acquired for $680 million just six months later, sparking the infamous Waymo v. Uber trade secrets lawsuit.
Dave Ferguson and Jiajun Zhu founded Nuro to focus on autonomous delivery.
In its attempt to incentivize success, Google had over-solved the problem, providing its best talent with the seed round money necessary to disrupt their former employer.
3. Alphabet Patches the Mistake
The Chauffeur Bonus System created real financial consequences. Alphabet’s operating expense jumped 14% in Q4 2015, and CFO Ruth Porat was forced to sheepishly explain to investors why a pre-revenue science project was weighing down the P&L of the world’s most profitable search engine.
In late 2016, Alphabet overhauled the entire incentive system by spinning the project out into a standalone company called Waymo. This move killed the formula-based multiplier system that the execs had grown to loathe and replaced it with a breakthrough in modern captive compensation design.
The new soft currency was Waymo Units, though calling them “currency” is generous given their lack of liquidity. Unlike the classic Google era, where vesting was synonymous with immediate cash, these are non-transferable, redeemable only during specific buyback events at set “company store” prices or on an eventual IPO, which I stated in my past essay, might never arrive. Worse, Waymo Units come with a trapdoor clause allowing Alphabet to forcibly buy back vested units from former employees, thus limiting their ability to participate in long-term upside.
Sensibly, this restored balance to the incentive system by reforging the golden handcuffs. The old system was a closed loop of internal optimism fed by the car not crashing. The new system is benchmarked against the more brutal metrics of commercial viability, such as utilization rates and revenue per mile. They still pay enough to attract the best, but not enough to fund their next three competitors in a single bonus cycle.
Part III: Case Study — Call of Duty: Civil War
Legal Disclaimer: Let the record show that all financial figures and spicy events detailed below are derived strictly from public court documents filed during the West v. Activision lawsuit (2012).
Activision Blizzard is an entertainment conglomerate operating with a clear structural division between the Publishing organization (responsible for finance, marketing, and legal) and the Studio organization (responsible for game development). In most corporate hierarchies, compensation correlates strictly with title, but at Activision, a unique royalty structure created an economic inversion where studio talent could significantly out-earn corporate leadership.
1. The Uncapped Royalty Loadout
Infinity Ward is the studio that created Call of Duty, an immensely successful first person video game, and a key factor in Microsoft’s acquisition of Activision. However, in the early 2000s, Call of Duty was just another World War II shooter in an overcrowded and exhausted genre.
The studio heads for Infinity Ward, Jason West and Vince Zampella, redefined the mainstream action game with the release of Call of Duty 4: Modern Warfare in 2007. They delivered a product as cinematic as a Michael Bay film, as competitive as beer pong at Dartmouth, and as addictive as a sleeve of Oreos.
Leveraging this success, West and Zampella renegotiated their contracts with Activision in 2008 specifically for the sequel, Modern Warfare 2. The resulting agreement included a specific clause: an uncapped royalty on the game’s profits to be distributed into a "Studio Bonus Pool." From a financial modeling perspective, this appeared to be prudent risk management. It aligned the incentives perfectly. If the sequel flopped, Activision owed Infinity Ward zero consideration (i.e, no royalties). If it succeeded, everyone shared the upside.
2. The Wealth Inversion Killstreak
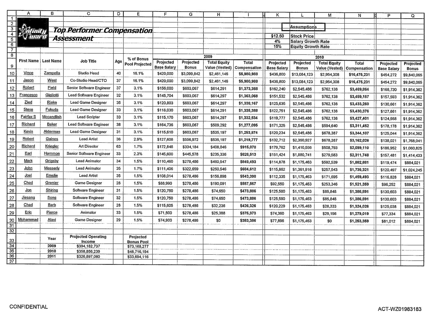
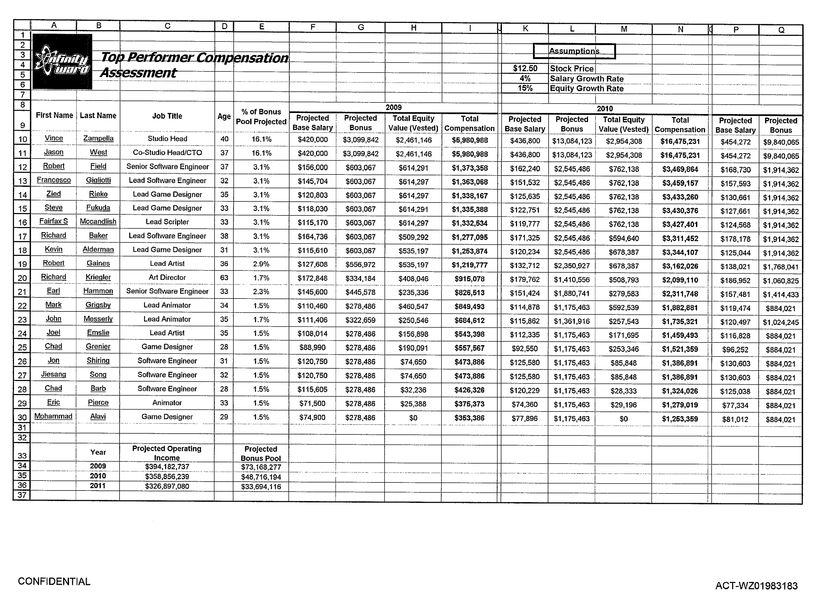
Modern Warfare 2 launched in 2009 and broke global entertainment records. However, the success of the launch triggered the uncapped royalty clauses, creating compensation packages that far exceeded standard industry caps.
Public evidence from the West v. Activision trial highlights the scale of this payout. Internal compensation assessments (submitted into evidence as Exhibit A below) projected that the studio heads were on track to earn over $16 million in total compensation for 2010 alone, figures that exceeded C-suite executive pay at the time. Even lead game designers and engineers were projected to earn between $1.2 million and $3.4 million annually, creating a pocket of life-changing wealth within the studio that was disconnected from the wider company’s pay bands.
This anomaly both skewed the budget and inverted the psychological hierarchy of the firm. In a corporate structure where authority typically flows downward with capital, the studio heads had arguably outgrown their reporting lines. They possessed "F-U Money," and Activision leadership interpreted that autonomy as a loss of control.
According to allegations made in public court filings, Activision executives became concerned regarding the size of these payouts and the leverage held by the studio heads. An internal email accompanying the compensation assessment noted, “we are paying way too many people way too much - we need to find a way to put caps on our bonus payouts.” Legal documents later revealed that Activision initiated an internal investigation referred to as “Project Icebreaker.” The plaintiffs alleged that the objective of this investigation was to identify grounds for termination before the royalty payout date.
In March 2010, following this investigation, Activision terminated West and Zampella, citing insubordination.
3. The Faction Switch
The resulting lawsuit, West v. Activision, brought the scale of the compensation into the public record. Filings revealed that Activision had paid a total of $493.5 million in performance bonuses to Infinity Ward from 2003 to 2011. The bonus pool specifically for Modern Warfare 2 was estimated at $147.5 million, shared across its 95 employees. West and Zampella alleged they were personally owed $36 million just for the launch quarter (studio bonuses are paid every quarter, so that’s just 1 payment out of 4 for the year).
The lawsuit was settled in 2012 for an undisclosed sum, and Activision paid out the remaining $42 million to the employees. However, the long-term economic consequence was the creation of a major competitor. Following the termination, West and Zampella formed a new studio, Respawn Entertainment, under Electronic Arts, and approximately 40 Infinity Ward developers resigned to join them. The talent that left formed the core of the team that built Titanfall and Apex Legends, franchises that have since generated billions in revenue, competing directly in the same first-person shooter market as Call of Duty.
This case study acts as a direct foil to the Google/Waymo example. While Google’s milestone mistake was one of unintended wealth creation, the Activision case serves as a textbook example of Principal-Agent Conflict. The contract was designed to transfer the downside risk (a sequel flopping) from the Principal (Activision) to the Agent (Infinity Ward). However, when the game hit an extreme upside, the mechanism inverted. The uncapped payouts were so large that it fractured the relationship between Capital (Activision) and Labor (Infinity Ward).
Part IV: The Truffle Pig
A truffle pig’s nose is a marvel of nature: soft, pink, and perpetually dusted with earth, yet powered by an olfactory sensitivity that borders on the miraculous. With a few determined snuffles, it can detect the sharp, metallic tang of volatility, the damp musk of uncertainty, the faint sulfur of vague math.
Where most humans see glossy pitch books and mission statements, its nose twitches and swivels like a living compass, detecting pricing errors buried beneath compensation bands, misaligned incentives fermenting under equity grants, and the sweet rot of upside mispriced by complacency. Equal parts charm and biological super-instrument, it roots through the humble soil of corporate bureaucracy to excavate the most sought after treasure, a compensation inefficiency with an asymmetric payoff profile.
Here are the specific scents that indicate a company has a broken incentive system.
1. The Scent of Uncapped Royalty
This is the Holy Grail of compensation. It appears when a Firm perceives expected outcomes to be highly uncertain or assumes a product will be niche, so they offer a percentage of profit instead of a high base salary to de-risk themselves. To find it, look for specific language in the contract with terms like, “X% of Operating Income3,” or “Y% of the Bonus Pool,” but crucially, without a dollar-value cap. Standard Finance Department procedure is to insist on caps (e.g., “Bonus up to 200% of base”).
If you find a contract without a cap, it’s because the Firm does not believe the product will scale. By signing it, the employee is betting on a high risk, high reward outcome. If the product goes viral, 1% of a billion dollars is retirement money. The Firm may try to sue you later, but that’s a high-quality problem to have.
Currently, the games industry is suffering from cost disease, eroding the value of royalties, since they are paid after costs are recouped. A AAA game that used to cost $50M in 2009 can cost $300M in 2026. The former CEO of Nexon, Owen Mahoney, argues that AI can collapse the cost of AAA production from $300M back down to $30M. If this thesis holds, we are on the cusp of a royalty renaissance. The danger is that firms use AI to make a map 100x bigger and increase complexity. The more financially sound alternative is to pocket the efficiency gains, use AI to make the same size game with 10x fewer people, lower the cost-basis, and restore the uncapped royalty clause as the most sought-after asset in tech.
2. The Scent of “Milestones, Not Market”
This occurs in R&D-heavy environments (Deep Tech, Biotech, and Crypto) where the product is years away from being sold, so the Firm can’t pay based on actual profit. Consequently, compensation plans are tied to technical milestones rather than business results.
In Biotech: “Bonus if the drug passes Phase 2 clinical trials.” If the drug fails in Phase 3 or never sells, employees still keep the bonus.
In Crypto: “Tokens unlock when Mainnet launches.” Employees get token warrants that vest upon network launch. They can often sell these tokens into the liquidity of the launch hype years before the protocol has a sustainable business model.
In AI: “Equity refresh if the model beats GPT-5 on the MMLU benchmark.” In the current AI war, private market valuations (and thus employee secondary sales) are driven by benchmark scores. If a model beats GPT-5 on MMLU, the company’s valuation jumps, and employees can sell stock in a tender offer. They are effectively being paid for a test score, regardless of whether that model costs $100 to run per query and is wildly unprofitable.
Firms believe these milestones are leading indicators of value. They assume that if the drug works, or the blockchain runs, or the model is smart, the money will follow, but technical progress does not always equal commercial viability.
This creates an arbitrage opportunity where an employee can achieve the milestone and trigger the payout, realizing significant wealth even if the product never launches or turns a profit. Essentially, the employee cashes out on the Firm’s optimism before the Firm is forced to face the reality of the market.
3. The Skunkworks Scent
When a division of the Firm is “Core” (like Search at Google), HR bands are rigid because the cost is heavily monitored. In these mature verticals, the efficiency police are already patrolling the P&L, ensuring no one gets paid above market rate.
Instead, the astute employee searches for an “Island of Misfit Toys,” a division that makes no money, is described as experimental, and where the budget is categorized as “R&D Slush.” Or one day, a headhunter might cold call looking for a subject matter expert with a niche background, perhaps in behavioral economics or game theory, to be employee #1 on a confidential new initiative. The job description is vague, the title is Director of Special Projects, and the team doesn't exist yet.
In such a division, there are no compensation benchmarks because the role is unique. Due to the open-ended nature of the mandate, the employee can often negotiate weird, non-standard equity packages because “it’s just a test project.” If the toy becomes the next Gmail or AWS, the employee becomes the founding patriarch of a new empire, rather than just employee #5,000 in an old one. By the time HR realizes they need to standardize the compensation, the equity has already vested.
4. The Scent of a Founder’s Desperation
Imagine speaking to a Founder & CEO of a small, fledgling startup in its awkward growth phase. It’s 10PM in his time zone, and he is multitasking while giving his son a bath. The founder is brilliant but overwhelmed.
Every quarter, he needs to generate a 100 slide deck for the Board of Directors meeting, which is just him and the VC who wrote a check for millions, detailing the product roadmap, current business KPIs, the state of the tech stack, and strategy for the next fundraising round. This is on top of the 4 weekly meetings, 4 monthly meetings, 5 quarterly meetings, and the many event-driven meetings that usually consist of an employee with arms folded across their chest banging on his office door. Crucially, there is no Chief Operating Officer or HR Director yet.
These all-too-common circumstances, whether at a startup or a distressed firm that is in dire need of a turnaround, create a wide bid/ask spread in valuation. The Founder is long on equity (he has plenty of it) but short on time (he has none of it). He is willing to pay an irrational amount of equity to buy back a small amount of time. An HR Director would never allow this trade, citing “market benchmarks,” but in the chaos of the growth phase, the benchmarks haven’t arrived yet.
5. The Scent of Regulatory Arbitrage
In the labor market, the concept of a Risk Premium manifests when a business model is temporarily in a legal grey area. Uber in 2012 was explicitly betting that consumer demand would grow faster than the ability of city governments to enforce taxi medallion laws. Every employee knew that a judge could theoretically shut down the app (and their job) overnight. Similarly, consider crypto in 2020. The entire sector was operating in the shadow of the SEC, betting that their tokens were currencies rather than unregistered securities, just keeping their fingers crossed that a 1946 Supreme Court ruling on citrus groves didn’t apply to digital assets.
Today, AI companies like OpenAI, Anthropic, and Midjourney are betting the house on copyright law. They have ingested the sum total of human creativity, books, art, code, often times without permission, placing a massive wager that the courts will deem this fair use rather than intellectual property theft. An astute engineer at these labs knows that a single Supreme Court ruling could force a catastrophic deletion of the models they spent billions building.
“Safe” employees (the ones with mortgages, children, and high risk aversion) avoid these companies because they crave stability. Because the supply of talent is constrained (due to reputational and existential risk), the price of labor is high. The employee gets paid a Risk Premium for career ambiguity. If the Firm survives the regulatory hammer (like Uber did), the employee keeps the premium and the equity.
Part V: The AI Talent Risk Index
Employees in the AI sector are living in the same reality that Project Chauffeur and Infinity Ward once occupied. They are capitalizing on a potent combination of Milestones, Skunkworks, Founder’s Desperation, and Regulatory Arbitrage. To forecast the endgame, let’s assess where the Zone 3 (Financial Independence) outcomes are fermenting. Remember from history: when the Employee hits Zone 3, the Investor loses leverage. Money no longer compels obedience. The talent becomes a future competitor or worse, remains as an empire builder consuming resources for their own legacy.
The following is a qualitative risk assessment of the major players in the AI Talent War based on their current incentive structures, ranked by the likelihood of their talent capturing the surplus.
1. xAI (Maximum Risk) This is the purest structural risk in the market, emitting the strong scent of Skunkworks energy. It combines a hyper-valued equity structure with extreme technical concentration. The recent SpaceX merger valued xAI at $250B. xAI employees now likely hold SpaceX stock (or a derivative). SpaceX has structured liquidity via reliable, periodic tenders, which means the golden handcuffs are actually quite loose. They can leave, keep their vested SpaceX stock, and start their own labs, which is exactly what they are doing. A 50% attrition rate in the founding team is a failure of the elite unit thesis.
2. Meta (High Risk) Mark Zuckerberg is operating in Founder’s Desperation, bypassing his own HR department to personally negotiate off-band packages for top researchers. While this secures the all-stars, it destabilizes the village. Just like with One Levandowski, compensation transparency is inevitable, and the perception of fairness within the firm collapses. Expect continued churn in the “unglamorous” core infrastructure engineers who actually productize the research, leading to execution delays.
3. OpenAI (High Risk) This is the modern Infinity Ward. The founding cohort is already sitting on Financial Independence (Zone 3). Unlike paper-rich startups, OpenAI has run massive tender offers (e.g., $6.6B in Oct 2025) explicitly to let employees cash out at a $500B valuation. We have already seen the missionaries who built GPT-4 leaving to become VCs or founders of rival labs (e.g., Mira Murati’s Thinking Machines and Ilya Sutskever’s SSI). OpenAI is now actively backfilling the true believers with mercenaries, late-stage experts who demand reported stock packages averaging $1.5M but lack the institutional memory. The culture has already shifted from cult to corporation.
4. Anthropic (Medium Risk) Until mid-February of 2026, Anthropic appeared to be happy, talent-retaining. When an AI Safety Leader publicly resigns with a dramatic letter stating “the world is in peril,” the facade of stability cracks. Anthropic is a delayed fuse, just earlier on the vesting curve than OpenAI. The equity is massive ($300B+ valuation) but largely illiquid. As soon as a liquidity event occurs, the safety researchers will have the capital to fund their own, even safer labs.
6. Nvidia (Medium Risk). By every metric, this company is a paradox. Nvidia is the headquarters of Zone 3 Financial Independence, with 75% of surveyed staff qualifying as millionaires, but their turnover rate remains 2.5% (vs. the semiconductor industry average of 16.4%). While the AI labs bid up talent with Soft Currency, Nvidia pays in Hard Currency (highly liquid, compounding public stock). Risk is low because, why would an engineer leave the casino right before the next hot streak? Jensen Huang has built a culture where the house lets you win, but only if you keep your chips on the table. This FOMO dynamic will hold… until the market convinces these employees that the run is truly over.
6. Microsoft & Google (Low Risk) Their compensation is standardized, banded, and boring, which means they avoid the scents entirely, and they have capped their downside risk. They will overpay to acquire a company (buying the finished product) rather than overpaying an individual (buying the volatile input), as seen with the Inflection (Microsoft) and Character.AI (Google) deals. While they may lose the headline-grabbing researchers to the startups, they retain the organizational discipline required to scale. They are the safe, low-variance bet.
Part VI: The Exit Signal
The Truffle Pig is the natural inhabitant of early-stage, high variance environments, where the range of possible outcomes is extreme. When the project wins, you win exponentially; when it fails, you’re at zero. Alpha (outsized returns) only lives here because the chaos creates the scent of pricing errors that the Truffle Pig has evolved to exploit.
Eventually, every ecosystem matures, and in the labor market, it arrives via Institutionalization. The Truffle Pig’s natural predator is the Professional Manager. Recruited from the elite training grounds of McKinsey and top-tier MBAs, they arrive with a lethal, economic purpose: to hunt down variance and kill it.
By using market data to establish rigid Levels (L4, L5, L6), they raise the floor (so you won’t starve) but they aggressively cap the ceiling (so you won’t get rich). And just like that, the wild, fertile soil where the Truffle Pig once rooted for “F-U Money” has been paved over with a parking lot of restricted stock units (RSUs) that vest over four years.
To the Firm, these predators are heroes. They capture the surplus value back from the employees and return it to the Investor. To the Truffle Pig, their arrival is the signal to run.
During an initial 1:1 meeting with the President of my prior company, his first question, oddly enough, was: “have you bought a house in LA, yet?” Always prudent to ask if the handcuffs are secure.
The team built, Carcraft, an internal simulation tool. They used Google’s massive compute infrastructure to drive billions of virtual miles.
You might be wondering: Why not a percentage of Revenue (Net Receipts)? This is lower risk for the employee, because he gets paid before the Firm pays its bills. Unfortunately, this is usually reserved for licensors (e.g., if you license the Unreal Engine to a studio), famous authors (book royalties), and occasionally massive stars (Robert Downey Jr. in Avengers). More common for employees is a percentage of Profit (Operating Income) which means you get paid after the accountants have deducted everything they can think of when it comes to Cost of Goods Sold and Operating Expenses.












